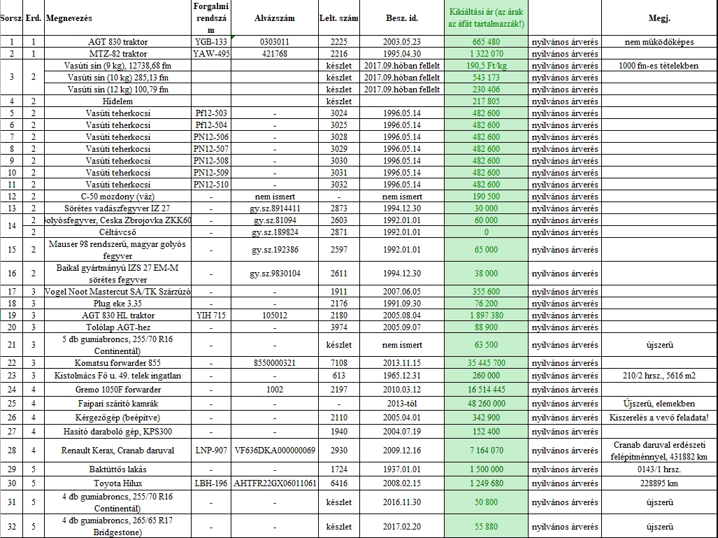
Nyilvánosan árverez a Zalaerdő: lakás, ingatlan, gépek, eszközök kerülnek dobra

facebook megosztás

Nyilvánosan árverez a Zalaerdő: lakás, ingatlan, gépek, eszközök kerülnek dobra.



Kattints ide a további részletekért

Az árverés időpontja és helyszíne: 2019. november 6. (szerda) 10 óra, a Zalaerdő Zrt. Lenti Erdészete, Lenti Táncsics u. 11/a.

További információ az eszközökről és az árverésről: a www.zalaerdo.hu weboldalon, illetve munkaidőben a 30/474-2120-as telefonszámon.

Az eszközök előzetesen megtekinthetőek a weboldalon megjelölt telephelyeken telefonos egyeztetést követően. 

Általános feltételek: az árverésen való részvétel feltétele az árverési bánatpénz megfizetése (kikiáltási ár 10%-a, de maximum 1,5 MFt), erre a helyszínen az árverés előtt egy órával van lehetőség. A vételár maradéktalan kiegyenlítésére az árverést követően 15 nap áll rendelkezésre. A birtokba adás ezt követően történhet meg.

Forrás: fatáj.hu

Minden jog fenntartva! © KANIZSA MÉDIAHÁZ Nonprofit Kft.